Folge dem Video um zu sehen, wie unsere Website als Web-App auf dem Startbildschirm installiert werden kann.
Anmerkung: Diese Funktion ist in einigen Browsern möglicherweise nicht verfügbar.
Ich kann den Amp clean (ohne Preamp) besonders für Preci empfehlen.In der 12 Uhr Stellung des EQs kommt er ein wenig verhangen daher.
Ich bin zu blöde die Knobs bei Musikding zu finden...Und mit schwarzen Knöppen vom Musikding sieht er nichtmal billo aus.

Danke Dir!Sind eigentlich unter Metallknöpfe...
Ich habe alles für die preamp-relevanten mods überprüft, siehe auch Zeichnung weiter oben. Angaben natürlich ohne Gewähr. Ich bin sehr happy mit dem teil, vor allem die Anpassung des treble Eq Punkts für den MK2 (Vorsicht, andere Werte als beim 1er) hat bei mir den Unterschied zwischen "okay" und "tut genau was ich will" gemacht.In erster Linie das Layout der Leiterplatte. Ob sich Werte im Schaltplan geändert haben, ist nicht so ohne weiteres ersichtlich. Da wäre aufwändiges Reverse Engineering angesagt. Ein neuer Schaltplan ist mir jefenfalls noch nicht untergekommen.
Wahnsinn, was du Dir für Arbeit gemacht hast.Nachdem wir in Paulitos Testbericht-Thread schon eine Menge diskutiert haben,
will ich hier mal meine Erfahrungen kundtun. Dank Member Bassdscho, der mir seinen HB800B mal zur Verfügung gestellt hat, habe ich mir die Mühe gemacht, den Vorverstärker auszubauen und ein wenig "reverse engineering" zu betreiben.
Der größte Knackpunkt hier ist wahrscheinlich die Equalizer-Schaltung. Der Rest der Schaltung ist linear ausgelegt und verändert der Frequenzgang gar nicht. Mit EQ auf Flat könnte der Amp sogar als Hifi-Endstufe durchgehen. Auch der Vorverstärker vor dem EQ hat lediglich eine lineare Verstärkung und verfremdet nichts. Auch einen Highpassfilter gegen Subsonic gibt es hier gar nicht.
Nachdem ich dei Schaltung abgemalt habe, wurden die Daten in die LT-SPice Simulation übertragen.
Hier der Plan der EQ-Sektion. Die 50K Potentiometer wurde hier jeweils durch 2 Widerstände dargestellt, z.B. Bass- und Bass+
Anhang anzeigen 294234
In der Simulation der Gesamtschaltung zeigen sich etwas andere Eigenschaften, als wenn man jedes Filter einzeln berechnen würde... Oberhalb der "Potis" stehen die Frequenzen, die ich aus der Schaltung ermittelt habe. Den Simulationsjunkies unter Euch kann ich gerne die .asc-Datei zur Verfügung stellen.
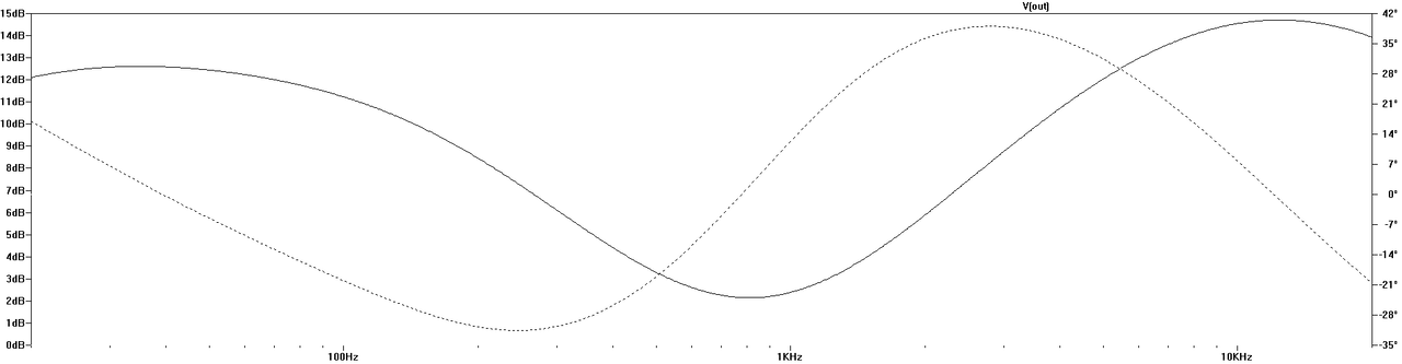
Die EQ-Bänder sind sehr schmal. Q liegt bei mindestens 1. Stellt euch mal vor, ihr würded nur diese Frequenzbänder auf einem 10-Band EQ benutzen und die anderen nicht. Das kann schon komisch klingen.
Sowas kommt dabei raus, wenn man einfach mal alle Bänder auf Maximum dreht:
Anhang anzeigen 294235
Hier wird recht schnell ersichtlich, dass es den Eindruck erwecken kann, dass dem Amp irgendwie Bässe fehlen. Es sei aber gesagt, dass der EQ bei Mittelstellung aller Regler wirklich flat ist.
Mein erster Eingriff wäre hier, die Bass und Treble-Regler ähnlich wie eine Baxandall-Kurve auszulegen.
Um Für Bass und Treble die Einsatzfrequenzen wie z.B, beim Standard Ampeg EQ zu bekommen,
müsste man C9 durch einen Elko 10µ tauschen, dessen Pluspol zum Poti hinführt. C16 (47nF) müsste durch 22nF ersetzt werden. Wer möchte, kann C16 auch auf 33nF erhöhen, wenn der Bass sich weiter aus dem Mittenbereich raushalten soll.
Unter dem Treble-Poti sitzen de Kondensatoren C11 und C15. C11 wird durch 22n ersetzt und C15 durch 100pF. Wer auf dem Treblepoti einen größeren Regelbereich haben möchte, schaltet zu dem Widerstand R23 noch einmal 1K8 parallel oder tauscht ihn durch einen 820 Ohm-WIderstand 1/8 Watt aus.
Hierdurch erweitert sich der Regelbereich der Höhen von +/- 12 auf +/-15dB.
So sieht es nun aus, wenn man die Mitten erstmal flat lässt und Bass und Höhen ganz aufdreht.
Hier ist deutlich zu sehen, dass die Welt im Low- und im High-End nun ganz anders aussieht.
Anhang anzeigen 294246
Die gestrichelten Kurven in den Darstellungen stellen den Phasenverlauf dar.
Über das Thema Mittenfrequenzen kann man sich ja streiten. Hier liegen sie ja werkseitig grob bei ca 300Hz und 2Khz.
Wer hier die perfekte Idee für die jeweilige Centerfrequenz und Güte Q hat, kann mir die Werte ja mal posten und ich versuche sie dann in die Schaltung einzuarbeiten. Die 2KHz sind an sich gut gewählt. Man kann hier den Pick bzw. Anschlag sehr gut herausarbeiten. Die Lowmid sind eher zum Absenken da...
Wenn ich 300Hz booste, klingt das eher topfig.
Eins geht bei dieser Schaltung leider nicht: Cut und Boost auf unterschiedlichen Frequenzen. Das wäre dann sehr aufwändig bis fast unmöglich.
Bevor jemand allgemein den Preamp des HB800B verteufelt und wegwerfen will... An sich ist das Layout gut und es ist definitiv kein Murks verarbeitet worden. Die OP-Amps sind TL072. Theoretisch könnte man U1 gegen einen noch rauschärmeren OP wie den 2134 oder so austauschen, aber es sei gesagt, dass selbst ein aktiver EMG-Pickup mehr Rauschen verursacht, als dieser Preamp!
Vielleicht gelingt es uns ja, aus diesem Schnäppchen einen richtig satten Bass-Amp zu mache
Bin gerne für Vorschläge offen!
Geht.....Wahnsinn, was du Dir für Arbeit gemacht hast.
Momentan stehe ich auf trickfish preamps und noch einen. Wenn man da reingucken könnte. Und einiges übernehmen könnte.
Überlege gerade, ob man nicht einfach einen günstigen preamp nicht davor ballern könnte.
Danke für die ausführliche Antwort.Geht.....
gern....Danke für die ausführliche Antwort.
Bist du Soldat oder Söldner ?gern....
wen interessiert das?Bist du Soldat oder Söldner ?
Danke! Kannte ich bisher nicht.trickfish preamps
